二極管是一種非線性器件,它對直流和交流(或者說動態量)呈現出不同的等效電阻。二極管的直流電阻是其工作在伏安特性上某一點時的端電壓與其電流之比。
圖(a)電路(b)二極管伏安特性和工作點Q(c)二極管的直流電阻
在直流電源V的作用下,對應于二極管電流ID和二極管兩端電壓UD的點稱為靜態工作點,該點對應的直流電阻為


動態電阻是在一個固定的直流電壓和電流(即靜態工作點Q)的基礎上,由交流信號ui引起特性曲線在Q點附近的一小段電壓和電流的變化產生的。若該交流信號ui是低頻,而且幅度很小(通常稱低頻小信號),則由此引起的電流變化量也很小,這一小段特性曲線可以用通過Q點的切線來等效。


圖(a)電路(b)二極管伏安特性(c)二極管的動態電阻
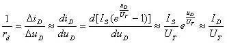
若在Q點的基礎上外加微小的低頻信號,二極管兩端產生的電壓變化量和電流變化量如圖(b)中所標注,則此時的二極管可等效成一個動態電阻rd,根據二極管的電流方程可得


rd是用以Q點為切點的切線斜率的倒數。顯然,Q點在伏安特性上的位置不同,rd的數值將不同。根據二極管的電流方程


可得:


因此


ID為靜態電流,常溫下UT=26mV。可知,靜態電流ID越大,rd將越小。設UD=0.7V時,ID=2mA。由此可得直流電阻RD=350,而動態電阻(交流電阻)


可見二者相差甚遠,切不可混淆。
根據上面的解釋,應該很容易理解用普通萬用表的電阻檔對二極管進行測量時,所測到的電阻值應該表示二極管的直流電阻而非動態電阻。
同時,用普通萬用表的歐姆檔去測量二極管的正向電阻時,由于表的內阻不同,使測量時流過管子的電流大小不同,也就是工作點的位置不同,故測得的RD值也不同。
烜芯微專業制造二極管,三極管,MOS管,橋堆20年,工廠直銷省20%,1500家電路電器生產企業選用,專業的工程師幫您穩定好每一批產品,如果您有遇到什么需要幫助解決的,可以點擊右邊的工程師,或者點擊銷售經理給您精準的報價以及產品介紹
烜芯微專業制造二極管,三極管,MOS管,橋堆20年,工廠直銷省20%,1500家電路電器生產企業選用,專業的工程師幫您穩定好每一批產品,如果您有遇到什么需要幫助解決的,可以點擊右邊的工程師,或者點擊銷售經理給您精準的報價以及產品介紹

